top30名校
申请体验
在线咨询
名校光环耀眼,但选错专业可能让你"高进低走"!
某些专业特别出挑,成为学校的ACE,但另一些专业相对弱势,变为冷门专业。
Top30光环固然很好,但如果忽略专业发展情况,未来则可能面临"名校毕业却竞争乏力"的尴尬。
Top10作为顶尖名校第一梯队,属于“全能型选手”,今天小藤就和大家从另外一个角看看Top10-30学校的强弱势专业对比情况,以供大家择校择专业时参考。
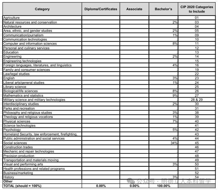
各校官网录取数据多为整体情况,较少公布学院或专业具体信息。今天小藤根据US.News、Niche专业排名及最新2024-2025CDS本科学位授予数据等交叉验证,多维分析Top10-30 学校强弱势专业。
其中要说明的是,一般学位授予比例最高前几位学科,数据占比大且契合强势专业。
而学位授予比例低的情况,会出现细分专业排名高,但授予比例小的情况,这主要是因为学科规模小,需结合学校整体情况辩证看待。
为了方便大家优先查看,
小藤给大家整理了一个表格,
大家可以参考
Top10-30学校的强&弱势专业






01
康奈尔大学
理工、商科、农业牛!
康奈尔是对国际生最友好的藤校,不过藤校光环下有些专业也要仔细斟酌下。


康奈尔本科学位授予情况
强势专业
康奈尔授予本科学位最高比重的学科分别是:
计算机与信息科学(17.88%)、商业/营销(14.38%)、工程(13.15%)、农业(10.96%)、生物/生命科学(9.83%)
明显看出,康奈尔在理工科、商科、农业等领域的强势,学科吸引力强。
在US.News本科项目排名中,康奈尔的CS全美第7,商科全美第9、工程全美第10,资源拉满,行业统治力极强,比如:
酒店管理业是全球行业标杆;
工程类专业的实验室设备投入上远超文科,如“强激光工程实验室” 设备投入达1.2亿美元;
CS专业常年被硅谷大厂"包场",北美科技名校的Target school。
具体到细分专业排名而言——
商科:酒店管理全美第1,量化分析位列全美第8。
工程:生物/农业工程全美第4;电气/电子/通信工程全美第10;工业制造业、材料工程全美全美第8、机械工程全美第10。
CS:编程语言全美第4;计算机理论全美第5;人工智能全美第7;数据分析/科学全美第8;网络安全、网络开发全美第10。
此外,康奈尔可是农业起家的一所学校,农业科学学院全美第1,生物/农业专业全美第4。在农业科学研究、农业教育等方面处于领先地位。
其他表现不错的专业还有,建筑学全美第2;环境科学全美第9;物理学全美第10等。
弱势专业
康奈尔授予比重较低的学科分别有:
人文艺术/通识教育(0.49%)、哲学与宗教研究(0.51%)、历史(0.54% )、区域、民族和性别研究(0.59%)、外语、文学与语言学(0.67%)、家庭与消费者科学(0.72%)英语(0.75%)等。
还有比如传播学/新闻学(1.93%)、数学与统计学(1.96%)、心理学(3.24%)等,虽然并没有零点几这么低,但和高比例学科相比差距明显。
可以看出,学位授予比例较低的学科集中在人文社科类,说明选择人数较少,是比较冷门的专业,具体到细分专业排名情况:
公共政策全美第18;人类学和社学院全美第20;经济学第21;政治学、数学、化学全美第23;心理学第27;哲学第28;英语第37;历史第39等。
康奈尔属于理强文弱类型,不同学院的录取情况,可点击下方详看:康奈尔大学2015-2024「八大学院录取率」!
明德学员康奈尔录取Offer



02
芝加哥大学
社会科学“一枝独大”
芝大给人的一贯印象是严谨中有着古怪,注重批判性思维,而这和学校着重投入的学科领域有非常大关系。

芝大本科学位授予情况
强势专业
不像康奈尔优势学科分配还比较平均,芝大的社会科学授予学位比例简直就是“一枝独大”,高达34%。
芝大的社科传统深厚,学术资源高度集中,是学校资源投入的重点对象,也因此吸引着众多学子。经济学、社会学、政治学领域的 “芝加哥学派” 是全球学术标杆。
经济学系诞生了超过30位诺贝尔奖得主,自由市场理论深刻影响全球政策制定。社会学作为现代学科发源地之一,研究方法与理论体系至今引领学界。
具体到细分专业排名而言:
经济学全美第1,宗教研究全美第4,哲学全美第5,公共政策全美第7,历史全美第9,英语第11,政治学全美第15,人类学和社会学全美第16。
注意的是,虽然哲学宗教研究、历史学位授予比例位3%,但从细分专业排名而言,芝大在这个领域很有实力,只不过是规模较小。
弱势专业
其实相对社会科学来说,其他学科的授予比例真的不算高,如果从这个层面来说,都算是“弱势”了。
所以大家一定要注意,我们的都是针对学校整体比较而言,要辩证看待哦。
授予比重较低的学科分别有(相对社会科学的34%而言):
数学与统计学(9%)、计算机与信息科学(8%)、物理科学(7%)、心理学(5%)
区域/种族与性别研究、自然资源与?;?、工程、传播/新闻、人文与通识研究、外国语言/文学与语言学等学科授予比例在1%-2%。
芝大的CS综合实力位列全美第25,计算机科学专业全美第18。
虽然和MIT这类同样“类藤”学校相比,优势不算突出,不过随着AI的热度和发展,课程和行业结合也越发紧密,投入力度有所提升。
另外物理全美第9、化学全美第11,数学全美第15,环境科学全美第20,心理学全美第22;生物学第26,表现不算拉垮。
芝大的工程本科项目并没进入全美前30,授予学位比例也仅有2%,在这方面表现并不突出。
值得一提的是,芝大的商学院其实挺强的,胜在地理位置好,芝加哥作为金融中心,学校商科侧重理论与实践结合,就业资源丰富,但在本科没有开设相关学位。
总体而言,芝大重在社会科学,其他学科相对并没有太过拉垮,但要说很前列那倒也说不上。
明德学员芝大录取Offer



03
布朗大学
“开放式课程”优势,不以工科见长
布朗大学以 “开放式课程体系(Open Curriculum)” 闻名,学术氛围更强调个性化探索与兴趣驱动。

布朗本科学位授予情况
布朗授予本科学位最高比重的学科分别是:
社会科学(25.2%)、计算机与信息科学(12.7%)、数学与统计学(9.9%)、生物/生命科学(9.3%)、跨学科研究(5.6%)
布朗和芝大一样,社会科学授予学位比重最大,社科传统深厚,具体细分专业排名而言:
国际关系、英语全美第4;教育学、宗教研全美第5;公共政策全美第6;历史全美第8;人类学与社会学全美第13;哲学全美第14,心理学全美第17;政治学全美第20;经济学全美第26。
CS实力也不错,在US.News的综合实力位列全美第25名,Niche中计算机科学专业全美第8。另外布朗大学数学、生物学等理论研究扎实,全美前10,。
在学位授予中,跨学科研究占到5.6%,这契合布朗 “开放式课程” 理念,学校的支持力度和氛围很好。
值得一提的是,教育学、哲学与宗教研究的授予学位占比分别是1.1%和1.6%,但实则排名并不低,这大家也要辩证大,比例低排名高,说明实力强但规模小。
弱势专业
授予比重较低的学科分别有:
工程(4.5%)、科学技术(3.3%)、自然资源与保护(2.5%)、区域/种族与性别研究(3.3%)、传播/新闻(2.2%);建筑学、商业/营销不到1%.
布朗没有独立商学院,规模很小,而且也没有在本科设置会计学、金融学、市场营销等细分专业。但这里有占比,估计主要是通过一些辅修课程。
另外想走纯工科路线,布朗工程授予学位、科学技术4.5%、3.3%,表现也相对弱势,工程整体本科排名没有进入前30,细分专业也没有出挑专业。
具体细分专业而言,工程整体本科排名没有进入前30,细分专业也没有出挑专业;传播学全美第58;建筑学全美第47;
总体而言,布朗并非以工科见长,但CS方面还是有一定投入力度,很大一部分资源仍然侧重在社会科学。
04
哥伦比亚大学
藤校光环+短板不明显
哥伦比亚大学学科体系多元且前沿,强调批判性思维与跨学科融合。

哥大本科学位授予情况
强势专业
哥大授予本科学位最高比重的学科分别是:
计算机与信息科学(16.5%)、工程(13.6%)、生物/生命科学(7.52%)、数学与统计学(7.16%)、英语(5.13%)
另外物理科学(4.68%)、心理学(4.32%)也比例相对多。
哥大的CS全美第16,整体本科工程实力位列全美第第20,另外人文社科也是其优势,具体细分专业而言:
英语学、全球研究全美第1;哲学全美第2;环境科学、经济学全美第3;历史全美第4;计算机科学全美第;政治学、人类学与社会学全美第6;心理学全美第7;数学全美第8;计算机理论全美第9;,生物学全美第12;建筑学全美第12;化学全美第13;公共政策全美第14;物理学全美第17。
弱势专业
哥大除了前面几个授予学位比例高之外,其他都在4%上下浮动,还有部分特别明显低的有:
哲学和宗教研究、跨学科研究、区域/种族与性别研究在2-4%左右,建筑、自然资源与保护低于1%
这里哥大我们会发现,授予比例和细分专业排名方面有一些错位的情况。
比如哲学哥大全美第2,也是实力很强的学校,但规模比较小;
又比如哥大工程整体排名第20,授予学位比例也很高,但和其他藤校相比,细分专业排名进入前15的没有。
因此我们结合上述的整体来看,小藤分析,哥大属于综合实力比较好的学校,特别短的短板不明显,硬要分出个强弱对比,那就是:
人文社科领域优势显著,而工程类虽然细分专业不突出,但藤校光环+不拉跨实力仍然让很多人选择,外加CS其实在哥大的发展势头很猛,也属于其优势之一 。
不过一些授予比例低地的专业,规模比较小,大家还是要多考虑到未来发展空间的延展性。
明德学员哥大录取Offer



05
加州大学洛杉矶分校
社会&生命科学申请人最多
UCLA学校网站给出2024fall不同学科领域以及学院的申请人数和录取率情况,因此我们就主要以这份数据来分析,就不看CDS的数据了。
从申请人数来看,社会科学和生命科学的申请人数远超人文和物理科学, 说明更受欢迎。另外社会科学虽然申请人数最多,但录取率最低,仅为 9.3%,这表明社会科学专业的竞争极为激烈。
相比之下,物理科学申请人数较少但录取率最高,达到 15%,说明其竞争压力相对较小 。

强势专业
结合上述数据来看,UCLA的社会科学、生命科学领域表现优异,具体细分专业而言:
人类学与社会学全美第1;心理学、教育学、政治学全美第4;设计全美第5;传播学、英语、哲学全美第6;表演艺术全美第7;音乐学院全美第8;艺术学院、电影和摄影学院、数学全美第9;历史全美第10;环境科学全美第10,公共政策全美第12;生物学全美第15。
工程全美第第16名,虽然没有细分专业进入全美前10,但是整体实力还是很有竞争力。
CS全美第13名:生物信息学活生物技术全美第10;软件工程全美第9;网络开发全美第6。
在本科没有开设商科相关学位课程
弱势专业
部分人文专业、物理科学在专业细分方面相较强势专业,竞争力有所减弱。
物理学全美第16;建筑学全美第18;国际关系全美第23;全球研究全美第24;经济学全美第27;化学全美第29;护理学全美第62。
另外UCLA还给出不同学院的申请人数和录取数据,由此我们也能看不不同的热门和冷门专业情况。
另外一个角度
除了从这一个角度看强势弱势专业后,UCLA公布了几个学院的申请和录取率情况,我们看看会有什么新发现。
工程学院
从工程学院和申请人数和录取率看,整体上是属于UCLA非常热门的学院。

其中CS专业申请人数最多,高达10529人,远超工程学院其他专业申请数量,而且录取率也是比较低的,为4.7%,可见是UCLA的大热门之一。
此外还有几个专业同样申请人数相对比较多,也很受欢迎,且录取率不超过5%
航天工程申请人数2857人,录取率3.3%;
机械工程申请人数5341人,录取率3.8%;
计算机科学和工程申请人数2851人,录取率4.1%
其余的生物工程、土木工程、电子工程录取率在5%-10%之间,申请人数在2500上下浮动,也属于表现较好的专业。
UCLA的材料工程申请人数最少,只有637人,录取率为13%,其次是化学工程,申请人数1282人,录取率14%,属于工程学院里录取率最高的两类专业。
整体看,UCLA的工程专业竞争力都不错,和前面分析的情况是一致的。
艺术和建筑学院:
艺术专业、设计/媒体艺术专业申请人数较多,分别为 1540人和1556人,录取率也是比较低的,分别为4.4%和3.2%,说明这两个专业相对更受学生欢迎,且录取竞争激烈。
世界艺术和文化专业申请人数不超150人,录取率高达31%,可以推论属于比较冷门专业。
而舞蹈专业申请人数334人,录取率没有很低也没有很高,为13%,属于比较中规中矩的一个情况。

从数据看,艺术专业、设计/媒体艺术专业其实在UCLA也是相对热门的选择。和前面提到细分专业排名设计全美第5、艺术学院全美第9。
世界艺术和文化专业、舞蹈是表现弱势的专业,建筑学全美第18,有可能是规模较小,表现一般。
戏剧、电影与电视学院
从数据看,UCLA的戏剧、电影与电视学院很受欢迎。
电影与电视专业非常受欢迎,申请者有 2168 人,录取率仅 1.1%。
戏剧专业申请者 1517 人,录取率 7.6% ,也是属于一个相对比较受关注的专业。

这个数据和细分排名中,表演艺术学院全美第7、电影和摄影学院全美第9,的情况相符合,实力很强。
赫伯?阿尔珀特音乐学院,
音乐学院整体申请人数不高,相较其他学院的申请人数明显热度下降,特别像民族音乐学申请人数仅有18人,录取率 72% ,属于非常冷门的专业了。
不过音乐创作专业还是比较竞争激烈,虽然申请人数只有130人,但录取率仅 4.6% 。

在Niche的细分排名中,UCLA的音乐学院全美第8,结合上述数据,应是在音乐创作方面比较强。
护理学院
护理预执业专业申请人数超500人,录取率仅有0.9%.

在Niche的细分排名中,UCLA的护理学院全美第62,排名并不算高,申请人数并不多,并不算特别热门,但录取要求还是很严苛的。
明德学员UCLA录取Offer



06
范德堡大学
范德堡大学近些年来也是备受关注,以文理教育为基础,人文学科、CS等学科实力强劲。

范德堡本科学位授予情况
强势专业
范德堡授予本科学位最高比重的学科分别是:
社会科学(28.7%)、跨学科研究(15.3%)、计算机与信息科学(9.2%)
范德堡大学在社会科学领域师资力量雄厚,像政治学、社会学等专业,不仅拥有丰富的学术资源,而且研究方向紧跟社会热点。具体细分专业排名而言:
教育学全美第1;心理学全美第6;经济学全美第7;英语全美第8;人类学与社会学全美第9;历史全美第11;公共政策全美第11;政治学全美第13;哲学全美第17。
CS注重课程与行业需求接轨,Niche中计算机科学专业位列全美第11。
值得一提,虽然授予教育学本科学位比例2.5%,但教育学在全美排名位列第1,主要在于规模小,而不是实力弱。
弱势专业
工程(7.9%);生物 / 生命科学(7.8%);物理科学(2.4%);哲学与宗教研究、建筑、家庭与消费者科学、区域/种族与性别研究、传播/新闻等不到1%、
虽然工程专业授予比例7.9%,但范德堡的传统工程学科表现一般,US.News的工程整体排名位于Top50内,细分专业排名没有进去全美前15的。
和排名全美前10的人文社科比还是有一定差距,具体细分专业排名来看:
数学全美第17;生物学全美第18;化学全美第24;传播学全美第24;物理学全美第25;环境科学全美第29。
总体来看,范德堡大学在社会科学、CS发展情况比较好,受到学生广泛认可;而在一些专业针对性较强且就业面窄的学科方面相对弱势。
明德学员范德堡录取Offer



07
密歇根大学安娜堡分校
热门领域竞争力强
作为一所公立校,UMich的确实力很抗打,是公立教育的擎天柱之一。

UMich本科学位授予情况
强势专业
UMich授予本科学位数量最高的学科分别是:
计算机与信息科学(1,354)、工程(1,164)、社会科学(1,047)、生物 / 生命科学(800)、商业 / 营销(655)
UMich在很多热门领域都很强势,也正是在这些领域授予的本科学位最多,说明非常热门。具体细分专业而言:
商科全美第4:市场营销全美第1,生产/运营管理、工商管理、创业管理全美第2。热门的金融全美第4、量化分析全美第5,会计、供应链管理全美第6、商业分析全美第7。
CS全美第10:网络开发全美第6;数据分析/科学全美第7;网络安全全美第8;计算机系统全美第9。
工程学全美第5:工业/制造工程全美第3;环境工程、材料工程全美第4;机械工程全美第5;土木工程全美第6;计算机工程、生物医学工程、航天航空工程、电子/电气/通信工程全美第7;化学工程全美第8。
其他还有教育学全美第3;公共卫生全美第8;经济学、国际关系、心理学全美前10等。
弱势专业
授予比重较低的学科分别是:
哲学与宗教研究、区域/种族和性别研究、自然资源和保护、英语、历史等不过百
授予比例比较低的学科属于“小众人文/技术”类,UMich更多是在一些热门领域上具有很强的竞争力。
在计算机与信息科学、工程、社会科学等领域优势明显,学科实力强劲,资源丰富,就业前景广阔,是学校的王牌专业方向。
“小众人文/技术”类,比如哲学、工程技术,学校资源少,课程选择有限。

09
乔治城大学
国际&政治领域佼佼者
乔治城也是一所强弱势专业非常明显的一所学校。

乔治城本科学位授予情况
强势专业
乔治城授予比重最高的学科分别是:
社会科学(41.26%)、商业 / 营销(18.03%)、生物 / 生命科学(6.71%)、跨学科研究(5.11%)、心理学(4.76%)
在社会科学的授予学位比例几乎占据半壁江山,具体细分专业而言:
国际关系、政治学全美第1;英语全美第7;公共卫生全美第7;历史、哲学全美第13等。
另外商科方面也表现出色,商科全美第14,其中国际贸易全美第3。
弱势专业
授予比例较低的学科有:
工程没数据;计算机和信息科学(2.75%);物理科学(1.30%);文科 / 通识研究(0.90%);哲学与宗教研究(1.15%)等。
乔治城明显在理工科表现弱势,学校更多侧重社科+交叉,纯理工类理论资源少。
想走 “纯工科“的学生,乔治城特色与资源不匹配,专业发展受限。
想走 “国际事务、公共政策” 路线,选社科类专业,地缘资源(政府、国际组织实习 )与学术实力双优;追求 “商科 + 全球化”,选商业 / 营销,课程结合国际案例,就业适配跨国企业、咨询机构。
10
纽约大学,“城市气质”重
纽大地处纽大这个市中心,强弱势专业的发展的地理资源的关系也很大。

强势专业
纽大授予本科学位比重较高的学科分别是:
视觉与表演艺术(15.25%)、商业 / 营销(13.32%)、社会科学(14.42%)、计算机和信息科学(10.72%)、文科 / 通识研究(7.46%)
从具体细分专业排名看:
纽大的电影、摄影等领域全球闻名,表演艺术全美第1;电影和摄影学、音乐学全美第3;设计全美第7。
此外抵触纽约中心地带,商科资源超级丰富,商科全美第5:金融全美第2,房地产全美第3,商业分析全美第4,市场营销、国际贸易、工商管理全美第5,会计全美第10。
其他表现出现的还有心理学全美第13;国际关系全美第14等。
弱势专业
工程(3.83%)、哲学与宗教研究(0.65%):、家庭与消费者科学(0.31%);区域、种族和性别研究(0.34%)、建筑(0.34%)。
纽大的传统工程学科表现一般,整体排名全美Top50,没有进入到前30之列,细分专业排名也出挑;
另外像地质学与环境科学也是比较弱势的,程以城市环境问题为主,缺乏野外地质考察资源。
总体而言,纽大更多像是“城市孩子”,商科、艺术、数据科学等与城市经济高度关联的学科,因产业需求与资源聚集而形成优势;
而传统工科、地理学等需要大规模物理空间或长期实验积累的学科,则面临资源分配的制约。
明德学员纽大录取Offer



今天给大家分析了部分Top10-30学校的强弱势专业,我们能发现这还真的挺复杂的,不仅看学院,还要看专业,不仅看学校整体实力,也看在某个细分领域的影响。
但还是那句话,我们要根据自身实力情况、未来发展规划以及兴趣爱好去进行选择,适合自己的就是最好的,在这基础上一定要去各个学校官网再进一步深入了解。
明德立人暑期限时福利来啦??!美本规划一对一规划评估(限10年级)!
